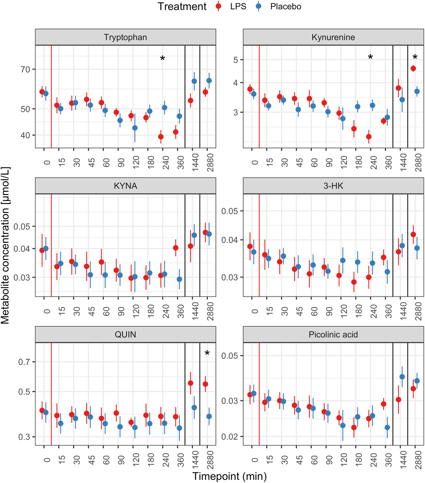
Fig. 2

Kynurenine metabolite levels after LPS (red) or placebo (blue) injection. The red line indicates the injection, the black lines the change between the three consecutive days. Data is presented as mean and standard error of the mean. *p < 0.005 (statistically significant results). KYNA: kynurenic acid, 3-HK: 3-hydroxykynurenine, QUIN: quinolinic acid